QOJ.ac

QOJ

Time Limit: 1 s Memory Limit: 512 MB Total points: 100

#10510. 星际穿越

Statistics

有 $n$ 个星球,它们的编号是 $1$ 到 $n$,它们坐落在同一个星系内,这个星系可以抽象为一条数轴,每个星球都是数轴上的一个点,特别地,编号为 $i$ 的星球的坐标是 $i$。

一开始,由于科技上的原因,这 $n$ 个星球的居民之间无法进行交流,因此他们也不知道彼此的存在。现在,这些星球独立发展出了星际穿越与星际交流的工具。对于第 $i$ 个星球,他通过发射强力信号,成功地与编号在 $[l_i,i-1]$ 的所有星球取得了联系(编号为 1 的星球没有发出任何信号),取得联系的两个星球会建立 双向 的传送门,对于建立了传送门的两个星球 $u,v$,$u$ 上的居民可以花费 1 单位时间传送到 $v$,$v$ 上的居民也可以花费 1 单位时间传送到 $u$ ,我们用 $dist(x,y)$ 表示从编号为 $x$ 的星球出发,通过一系列星球间的传送门,传送到编号为 $y$ 的星球最少需要花费的时间。

现在有 $q$ 个星际商人,第 $i$ 个商人初始所在的位置是 $x_i$, 他的目的地是 $[l_i,r_i]$ 中的其中一个星球,保证 $l_i < r_i < x_i$ 。他会在这些星球中等概率挑选一个星球 $y$ (每个星球都有一样的概率被选中作为目的地),然后通过一系列星球的传送门,花费最少的时间到达星球 $y$ 。商人想知道他花费的期望时间是多少?也就是计算 $\frac{1}{r_i-l_i+1}{\sum_{y=l_i}^{r_i}{dist(x_i,y)}}$ 。

输入格式

第一行一个正整数 $n$ ,表示星球的个数。

第二行 $n-1$ 个正整数,第 $i$ 个正整数为 $l_{i+1}$ ,表示编号在 $[l_{i+1},i]$ 区间内所有星球已经与编号为 $i+1$ 的星球取得了联系,并且可以通过花费 1 单位进行彼此的传输。保证 $l_{i+1}\leq i$

第三行一个正整数 $q$ ,表示询问组数。

接下来 $q$ 行,每行三个数字 $l_i,r_i,x_i$ ,表示在 $[l_i,r_i]$ 这个区间中等概率选择一个星球 $y$,$dist(x_i,y)$ 的期望。保证 $l_i

输出格式

对于每组询问,注意到答案必然是一个有理数,因此以 $p/q$ 的格式输出这个有理数,要求 $gcd(p,q)=1$ 。

如果答案为整数 $m$ ,输出 $m/1$ 。

样例数据

样例输入

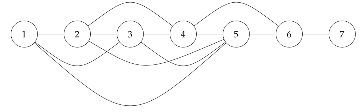
7
1 1 2 1 4 6
5
3 4 6
1 5 7
1 2 4
1 2 6
1 3 5

样例输出

3/2
13/5
3/2
2/1
1/1

样例解释

样例对应的无向图如下:problem_10510_1.png

子任务

对于 $20\%$ 的数据,满足 $n \leq 100$。

对于另 $25\%$ 的数据,满足 $n\leq 2000$

对于另 $25\%$ 的数据,满足 $n\leq 5000$

对于 $100\%$ 的数据,满足 $n,q\leq 3\times 10^5$

Discussions

About Discussions

The discussion section is only for posting: General Discussions (problem-solving strategies, alternative approaches), and Off-topic conversations.

This is NOT for reporting issues! If you want to report bugs or errors, please use the Issues section below.

Open Discussions 0
No discussions in this category.

Issues

About Issues

If you find any issues with the problem (statement, scoring, time/memory limits, test cases, etc.), you may submit an issue here. A problem moderator will review your issue.

Guidelines:

  1. This is not a place to publish discussions, editorials, or requests to debug your code. Issues are only visible to you and problem moderators.
  2. Do not submit duplicated issues.
  3. Issues must be filed in English or Chinese only.
Active Issues 0
No issues in this category.
Closed/Resolved Issues 0
No issues in this category.