QOJ.ac

QOJ

Time Limit: 1 s Memory Limit: 256 MB Total points: 100 Hackable ✓

#3496. Damaged Roads

Statistics

This year the winter came early. Fortunately, it’s not too harsh, but the temperatures oscillating around zero have a detrimental effect on the roads. What’s worse, it turned out that the road maintenance board is out of money, and there’s still a long time until new year (and new budget allowance). Foreseeing numerous roads to be damaged, the director of the board ordered to only repair the subset of roads of minimum total length that still allows traveling between any pair of towns. Proud of his idea he decided to call this subset a minimal support of transportation, in short MST. When Johnny, his brightest employee, mentioned that there can be more than one MST, the director promptly concluded that it’s actually quite fortunate: as long as there exists MST consisting only of undamaged roads the repairs are not necessary at all! And for the second question, which Johnny intended to be rhethorical “How many broken roads will it take until we actually start repairing them?” he just replied: “Great question! I’m waiting for an answer!”. Unfortunately this question is too hard for Johnny, so he decided to outsource it to external expert (i.e. you). During the talk with you he proudly pointed out that all the roads are bidirectional.

Input Format

The first line of input contains two integers $n$ and $m$ ($1 \leq n \leq 300$, $1 \leq m \leq 600$), separated by single space and representing the number of towns and the number of bidirectional roads between those towns respectively. The next $m$ lines describe the roads. Each of those lines contains three integers $a_i$, $b_i$, and $c_i$ ($1 \leq a_i, b_i \leq n$, $a_i \ne b_i$, $1 \leq c_i \leq 10^6$), separated by single spaces, which means that the towns $a_i$ and $b_i$ are directly connected by a road of length $c_i$.

Two towns can be directly connected by more than one road, but there are no roads that would have both endpoints at the same town (such roads, if they existed, would never be repaired anyway). You can assume that given roads allow traveling between any pair of towns.

Output format

The first and only line of output should contain a single integer: the minimum possible number of roads that, if broken, would force the road maintenance board to order repairing one of them.

Sample

Input

4 5
2 3 5
3 4 5
2 4 6
1 4 2
1 2 2

Output

1

Notes

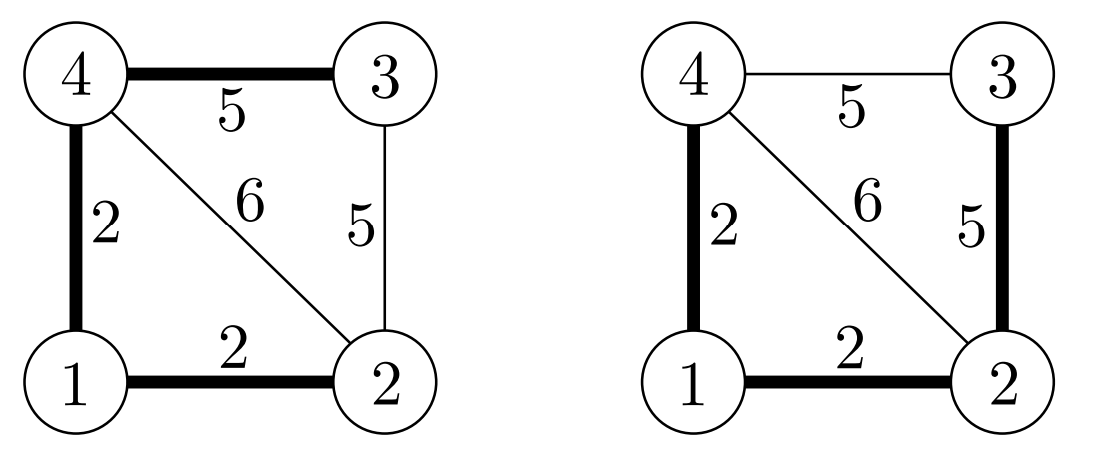
The road network from example test contains exactly two MSTs, marked with thick lines on the diagram. Both roads of length $2$ belong to both MSTs, so breaking any of them forces a repair.

problem_3496_1.png

Discussions

About Discussions

The discussion section is only for posting: General Discussions (problem-solving strategies, alternative approaches), and Off-topic conversations.

This is NOT for reporting issues! If you want to report bugs or errors, please use the Issues section below.

Open Discussions 0
No discussions in this category.

Issues

About Issues

If you find any issues with the problem (statement, scoring, time/memory limits, test cases, etc.), you may submit an issue here. A problem moderator will review your issue.

Guidelines:

  1. This is not a place to publish discussions, editorials, or requests to debug your code. Issues are only visible to you and problem moderators.
  2. Do not submit duplicated issues.
  3. Issues must be filed in English or Chinese only.
Active Issues 0
No issues in this category.
Closed/Resolved Issues 0
No issues in this category.