QOJ.ac

QOJ

Time Limit: 1 s Memory Limit: 1024 MB Total points: 100

#15829. Chemical Storage

الإحصائيات

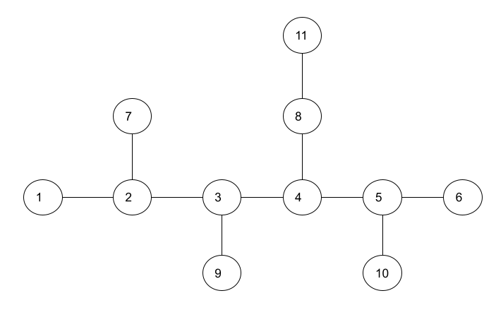
International Chemical Producing Company (ICPC) 是一家制造各种化学品的国际公司。该公司建造了几个化学品储藏室。为了方便搬运化学品,他们修建了一条短铁路连接两个化学品储藏室。这些化学品储藏室和铁路构成的网络形成了一种特殊的树状图,其中所有节点到一条中心路径的距离都不超过 2。我们按顺序从 1 开始对每个节点进行编号。图 1 给出了一个网络示例。

图 1:一个包含化学品储藏室和铁路的网络示例。

每种化学产品都将储存在放置于化学品储藏室的罐子中。由于化学品可能会泄漏到空气中,安全规则规定,化学品不能放置在两个相邻的储藏室中,以避免化学品之间发生不良化学反应。图 2 给出了两个化学品放置网络的示例:(a) 是安全的,(b) 是不安全的。

图 2:两个化学品放置网络的示例:(a) 安全,(b) 不安全。

有时,工人必须清理罐子并将一些化学品移动到其他化学品储藏室。Peter 是一名工人,他的经理会分配给他一个包含两个安全放置网络的任务:源网络 $T_s$ 和目标网络 $T_d$。如果存在一种可能的策略,能够按照安全规则将化学品从 $T_s$ 移动到 $T_d$,则称该任务是可行的;否则,称其为不可行的。注意,我们并不限制化学品必须放置在特定的储藏室中。如果 $T_s$ 和 $T_d$ 相同,该任务也被视为可行。图 3 和图 4 分别展示了可行任务和不可行任务的示例。

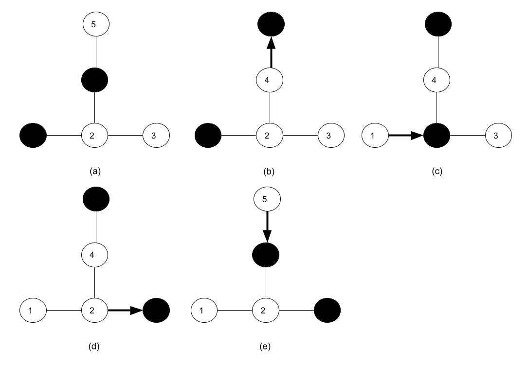
图 3:一个可行任务:(a) 源网络,(b) 将化学品从 4 移动到 5,(c) 将化学品从 1 移动到 2,(d) 将化学品从 2 移动到 3,(e) 将化学品从 5 移动到 4,到达目标网络。

图 4:一个不可行任务:(a) 源网络,(b) 目标网络。

请编写一个程序来帮助 Peter 判断一个任务是否可行。

输入格式

第一行包含一个整数 $t$,表示测试用例的数量。接下来的每个测试用例包含四行。对于每个测试用例,第一行包含两个整数 $n$ 和 $m$,其中 $n$ 表示化学品储藏室的数量,$m$ 表示化学品的数量;第二行包含 $n - 1$ 个整数 $r_1, r_2, \dots, r_{n-1}$,表示对于 $1 \le i \le n - 1$,储藏室 $i + 1$ 有一条连接到储藏室 $r_i$ 的铁路;第三行包含 $m$ 个整数 $s_j$($1 \le j \le m$),表示源网络中放置化学品的储藏室编号;第四行包含 $m$ 个整数 $d_k$($1 \le k \le m$),表示目标网络中放置化学品的储藏室编号。

输出格式

对于每个测试用例,如果任务可行则输出 1,否则输出 0,每个结果占一行。

数据范围

  • $5 \le t \le 10$
  • $1 \le m \le n \le 10,000$
  • $1 \le r_i < i + 1$,$1 \le i \le n - 1$
  • $1 \le s_j \le n$ 且当 $p \neq q$ 时 $s_p \neq s_q$,$1 \le d_k \le n$ 且当 $p \neq q$ 时 $d_p \neq d_q$

样例

输入 1

6
4 2
1 2 2
1 4
3 4
4 2
1 2 2
1 4
1 4
5 2
1 2 2 4
1 4
3 4
11 4
1 2 3 4 5 2 4 3 5 8
1 6 7 8
1 3 5 8
11 4
1 2 3 4 5 2 4 3 5 8
1 3 5 8
7 8 9 10
10 5
1 2 3 4 2 3 3 6 4
2 4 7 8 9
1 5 6 7 8

输出 1

0
1
1
0
1
1

Discussions

About Discussions

The discussion section is only for posting: General Discussions (problem-solving strategies, alternative approaches), and Off-topic conversations.

This is NOT for reporting issues! If you want to report bugs or errors, please use the Issues section below.

Open Discussions 0
No discussions in this category.

Issues

About Issues

If you find any issues with the problem (statement, scoring, time/memory limits, test cases, etc.), you may submit an issue here. A problem moderator will review your issue.

Guidelines:

  1. This is not a place to publish discussions, editorials, or requests to debug your code. Issues are only visible to you and problem moderators.
  2. Do not submit duplicated issues.
  3. Issues must be filed in English or Chinese only.
Active Issues 0
No issues in this category.
Closed/Resolved Issues 0
No issues in this category.